Questions

QUESTION 2–10

Which of the following statements are correct? Explain your answers.

A. An atomic nucleus contains protons and neutrons.

B. An atom has more electrons than protons.

C. The nucleus is surrounded by a double membrane.

D. All atoms of the same element have the same number of neutrons.

E. The number of neutrons determines whether the nucleus of an atom is stable or radioactive.

F. Both fatty acids and polysaccharides can be important energy stores in the cell.

G. Hydrogen bonds are weak and can be broken by thermal energy, yet they contribute significantly to the specificity of interactions between macromolecules.

QUESTION 2–11

To gain a better feeling for atomic dimensions, assume that the page on which this question is printed is made entirely of the polysaccharide cellulose, whose molecules are described by the formula (CnH2nOn), where n can be a quite large number and is variable from one molecule to another. The atomic weights of carbon, hydrogen, and oxygen are 12, 1, and 16, respectively, and this page weighs 5 g.

A. How many carbon atoms are there in this page?

B. In cellulose, how many carbon atoms would be stacked on top of each other to span the thickness of this page (the size of the page is 21.2 cm × 27.6 cm, and it is 0.07 mm thick)?

C. Now consider the problem from a different angle. Assume that the page is composed only of carbon atoms. A carbon atom has a diameter of 2 × 10–10 m (0.2 nm); how many carbon atoms of 0.2 nm diameter would it take to span the thickness of the page?

D. Compare your answers from parts B and C and explain any differences.

QUESTION 2–12

A. How many electrons can be accommodated in the first, second, and third electron shells of an atom?

B. How many electrons would atoms of the elements listed below have to gain or lose to obtain a completely filled outer shell?

helium

gain __

lose __

oxygen

gain __

lose __

carbon

gain __

lose __

sodium

gain __

lose __

chlorine

gain __

lose __

C. What do the answers tell you about the reactivity of helium and the bonds that can form between sodium and chlorine?

QUESTION 2–13

The elements oxygen and sulfur have similar chemical properties because they both have six electrons in their outermost electron shells. Indeed, both elements form molecules with two hydrogen atoms, water (H2O) and hydrogen sulfide (H2S). Surprisingly, at room temperature, water is a liquid, yet H2S is a gas, despite sulfur being much larger and heavier than oxygen. Explain why this might be the case.

QUESTION 2–14

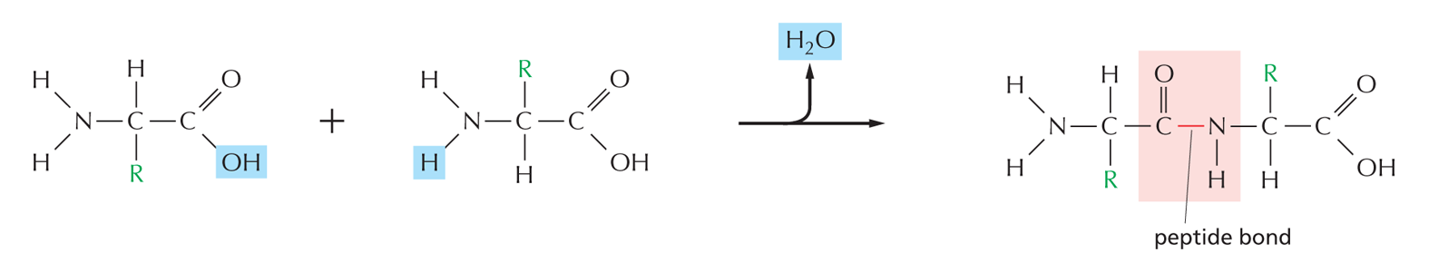
Write the chemical formula for a condensation reaction of two amino acids to form a peptide bond. Write the formula for its hydrolysis.

Panel 2–1

CHEMICAL BONDS AND GROUPS

CARBON SKELETONS

Carbon has a unique role in the cell because of its ability to form strong covalent bonds with other carbon atoms. Thus carbon atoms can join to form:

Carbon Skeletons
Carbon Skeletons
Carbon Skeletons

COVALENT BONDS

A covalent bond forms when two atoms come very close together and share one or more of their outer-shell electrons. Each atom forms a fixed number of covalent bonds in a defined spatial arrangement.

Covalent Bonds
Covalent Bonds
Covalent Bonds

Atoms joined by two or more covalent bonds cannot rotate freely around the bond axis. This restriction has a major influence on the three-dimensional shape of many macromolecules.

The precise spatial arrangement of covalent bonds influences the three-dimensional structure and chemistry of molecules.

In this review panel, we see how covalent bonds are used in a variety of biological molecules.

ALTERNATING DOUBLE BONDS

A carbon chain can include double bonds. If these are on alternate carbon atoms, the bonding electrons move within the molecule, stabilizing the structure by a phenomenon called resonance.

Alternating Double Bonds
Alternating Double Bonds

Alternating double bonds in a ring can generate a very stable structure.

C–H COMPOUNDS

C-H Compounds

Carbon and hydrogen together make stable compounds (or groups) called hydrocarbons. These are nonpolar, do not form hydrogen bonds, and are generally insoluble in water.

C–O COMPOUNDS

Many biological compounds contain a carbon covalently bonded to an oxygen. For example,

C-O compounds

C–N COMPOUNDS

Amines and amides are two important examples of compounds containing a carbon linked to a nitrogen.

Amines in water combine with an H+ ion to become positively charged.

Amides are formed by combining an acid and an amine. Unlike amines, amides are uncharged in water. An example is the peptide bond that joins amino acids in a protein.

Nitrogen also occurs in several ring compounds, including important constituents of nucleic acids: purines and pyrimidines.

SULFHYDRYL GROUP

The Sulfhydryl Group is called a sulfhydryl group. In the amino acid cysteine, the sulfhydryl group may exist in the reduced form, Sulfhydryl Group or more rarely in an oxidized, cross-bridging form, Sulfhydryl Group

PHOSPHATES

Inorganic phosphate is a stable ion formed from phosphoric acid, H3PO4. It is also written as Pi .

Phosphates

Phosphate esters can form between a phosphate and a free hydroxyl group. Phosphate groups are often covalently attached to proteins in this way.

Phosphates

The combination of a phosphate and a carboxyl group, or two or more phosphate groups, produces an acid anhydride. Because compounds of this type release a large amount of free energy when the bond is broken by hydrolysis in the cell, they are often said to contain a “high-energy” bond.

Phosphates
Phosphates

Panel 2–2

THE CHEMICAL PROPERTIES OF WATER

HYDROGEN BONDS

Hydrogen Bonds

Because they are polarized, two adjacent H2O molecules can form a noncovalent linkage known as a hydrogen bond. Hydrogen bonds have only about 1/20 the strength of a covalent bond.

Hydrogen bonds are strongest when the three atoms lie in a straight line.

WATER

Two atoms connected by a covalent bond may exert different attractions for the electrons of the bond. In such cases, the bond is polar, with one end slightly negatively charged (δ) and the other slightly positively charged (δ+).

Water

Although a water molecule has an overall neutral charge (having the same number of electrons and protons), the electrons are asymmetrically distributed, making the molecule polar. The oxygen nucleus draws electrons away from the hydrogen nuclei, leaving the hydrogen nuclei with a small net positive charge. The excess of electron density on the oxygen atom creates weakly negative regions at the other two corners of an imaginary tetrahedron. On these pages, we review the chemical properties of water and see how water influences the behavior of biological molecules.

WATER STRUCTURE

Molecules of water join together transiently in a hydrogen-bonded lattice.

Water structure

The cohesive nature of water is responsible for many of its unusual properties, such as high surface tension, high specific heat capacity, and high heat of vaporization.

HYDROPHILIC MOLECULES

Substances that dissolve readily in water are termed hydrophilic. They include ions and polar molecules that attract water molecules through electrical charge effects. Water molecules surround each ion or polar molecule and carry it into solution.

Hydrophilic Molecules

Ionic substances such as sodium chloride dissolve because water molecules are attracted to the positive (Na+) or negative (Cl) charge of each ion.

Hydrophilic Molecules

Polar substances such as urea dissolve because their molecules form hydrogen bonds with the surrounding water molecules.

HYDROPHOBIC MOLECULES

Substances that contain a preponderance of nonpolar bonds are usually insoluble in water and are termed hydrophobic. Water molecules are not attracted to such hydrophobic molecules and so have little tendency to surround them and bring them into solution.

Hydrophilic Molecules

Hydrocarbons, which contain many C–H bonds, are especially hydrophobic.

WATER AS A SOLVENT

Many substances, such as household sugar (sucrose), dissolve in water. That is, their molecules separate from each other, each becoming surrounded by water molecules.

Water as a solvent

When a substance dissolves in a liquid, the mixture is termed a solution. The dissolved substance (in this case sugar) is the solute, and the liquid that does the dissolving (in this case water) is the solvent. Water is an excellent solvent for hydrophilic substances because of its polar bonds.

ACIDS

Substances that release hydrogen ions (protons) into solution are called acids.

Acids

Many of the acids important in the cell are not completely dissociated, and they are therefore weak acids—for example, the carboxyl group (–COOH), which dissociates to give a hydrogen ion in solution.

Acids

Note that this is a reversible reaction.

HYDROGEN ION EXCHANGE

Positively charged hydrogen ions (H+) can spontaneously move from one water molecule to another, thereby creating two ionic species.

Hydrogen Ion Exchange

Because the process is rapidly reversible, hydrogen ions are continually shuttling between water molecules. Pure water contains equal concentrations of hydronium ions and hydroxyl ions (both 10–7 M).

pH

The acidity of a solution is defined by the concentration (conc.) of hydronium ions (H3O+) it possesses, generally abbreviated as H+. For convenience, we use the pH scale, where

pH

BASES

Substances that reduce the number of hydrogen ions in solution are called bases. Some bases, such as ammonia, combine directly with hydrogen ions.

Bases

Other bases, such as sodium hydroxide, reduce the number of H+ ions indirectly, by producing OH ions that then combine directly with H+ ions to make H2O.

Bases

Many bases found in cells are partially associated with H+ ions and are termed weak bases. This is true of compounds that contain an amino group (—NH2), which has a weak tendency to reversibly accept an H+ ion from water, thereby increasing the concentration of free OH ions.

Bases

Panel 2–3

THE PRINCIPAL TYPES OF WEAK NONCOVALENT BONDS

WEAK NONCOVALENT CHEMICAL BONDS

Organic molecules can interact with other molecules through three types of short-range attractive forces known as noncovalent bonds: van der Waals attractions, electrostatic attractions, and hydrogen bonds. The repulsion of hydrophobic groups from water is also important for these interactions and for the folding of biological macromolecules.

Weak noncovalent chemical bonds

Weak noncovalent bonds have less than 1/20 the strength of a strong covalent bond. They are strong enough to provide tight binding only when many of them are formed simultaneously.

VAN DER WAALS ATTRACTIONS

If two atoms are too close together, they repel each other very strongly. For this reason, an atom can often be treated as a sphere with a fixed radius. The characteristic “size” for each atom is specified by a unique van der Waals radius. The contact distance between any two noncovalently bonded atoms is the sum of their van der Waals radii.

Van Der Waals Attractions

At very short distances, any two atoms show a weak bonding interaction due to their fluctuating electrical charges. The two atoms will be attracted to each other in this way until the distance between their nuclei is approximately equal to the sum of their van der Waals radii. Although they are individually very weak, such van der Waals attractions can become important when two macromolecular surfaces fit together very closely, because many atoms are involved.

Note that when two atoms form a covalent bond, the centers of the two atoms (the two atomic nuclei) are much closer together than the sum of the two van der Waals radii. Thus,

Van Der Waals Attractions

HYDROGEN BONDS

As already described for water (see Panel 2–2, pp. 68–69), hydrogen bonds form when a hydrogen atom is “sandwiched” between two electron-attracting atoms (usually oxygen or nitrogen).

Hydrogen bonds are strongest when the three atoms are in a straight line:

Hydrogen Bonds
Hydrogen Bonds

HYDROGEN BONDS IN WATER

Any two atoms that can form hydrogen bonds to each other can alternatively form hydrogen bonds to water molecules. Because of this competition with water molecules, the hydrogen bonds formed in water between two peptide bonds, for example, are relatively weak.

Hydrogen bonds in water

ELECTROSTATIC ATTRACTIONS

Electrostatic attractions occur both between fully charged groups (ionic bond) and between partially charged groups on polar molecules.

Electrostatic Attractions

The force of attraction between the two partial charges, δ+ and δ, falls off rapidly as the distance between the charges increases.

In the absence of water, ionic bonds are very strong. They are responsible for the strength of such minerals as marble and agate, and for crystal formation in common table salt, NaCl.

Electrostatic Attractions

ELECTROSTATIC ATTRACTIONS IN WATER

Charged groups are shielded by their interactions with water molecules. Electrostatic attractions are therefore quite weak in water.

Electrostatic Attractions in water

Inorganic ions in solution can also cluster around charged groups and further weaken these electrostatic attractions.

Electrostatic Attractions in water

Despite being weakened by water and inorganic ions, electrostatic attractions are very important in biological systems. For example, an enzyme that binds a positively charged substrate will often have a negatively charged amino acid side chain at the appropriate place.

Electrostatic Attractions in water

HYDROPHOBIC FORCES

Hydrophobic Forces

Water forces hydrophobic groups together in order to minimize their disruptive effects on the water network formed by the hydrogen bonds between water molecules. Hydrophobic groups held together in this way are sometimes said to be held together by “hydrophobic bonds,” even though the attraction is actually caused by a repulsion from water.

Panel 2–4

AN OUTLINE OF SOME OF THE TYPES OF SUGARS

MONOSACCHARIDES

Monosaccharides usually have the general formula (CH2O)n, where n can be 3, 4, 5, or 6, and have two or more hydroxyl groups. They either contain an aldehyde group () and are called aldoses, or a ketone group () and are called ketoses.

Monosaccharides

RING FORMATION

In aqueous solution, the aldehyde or ketone group of a sugar molecule tends to react with a hydroxyl group of the same molecule, thereby closing the molecule into a ring.

Ring Formation

ISOMERS

Many monosaccharides differ only in the spatial arrangement of atoms—that is, they are isomers. For example, glucose, galactose, and mannose have the same formula (C6H12O6) but differ in the arrangement of groups around one or two carbon atoms.

Isomers

These small differences make only minor changes in the chemical properties of the sugars. But the differences are recognized by enzymes and other proteins and therefore can have major biological effects.

α AND β LINKS

The hydroxyl group on the carbon that carries the aldehyde or ketone can rapidly change from one position to the other. These two positions are called α and β.

Alpha and Beta Links

As soon as one sugar is linked to another, the α or β form is frozen.

SUGAR DERIVATIVES

The hydroxyl groups of a simple monosaccharide, such as glucose, can be replaced by other groups.

Sugar Derivatives

DISACCHARIDES

The carbon that carries the aldehyde or the ketone can react with any hydroxyl group on a second sugar molecule to form a disaccharide. Three common disaccharides are

maltose (glucose + glucose)

lactose (galactose + glucose)

sucrose (glucose + fructose)

The reaction forming sucrose is shown here.

Disaccharides

OLIGOSACCHARIDES AND POLYSACCHARIDES

Large linear and branched molecules can be made from simple repeating sugar subunits. Short chains are called oligosaccharides, and long chains are called polysaccharides. Glycogen, for example, is a polysaccharide made entirely of glucose subunits joined together.

Oligosaccharides and Polysaccharides

COMPLEX OLIGOSACCHARIDES

In many cases, a sugar sequence is nonrepetitive. Many different molecules are possible. Such complex oligosaccharides are usually linked to proteins or to lipids, as is this oligosaccharide, which is part of a cell-surface molecule that defines a particular blood group.

Complex Oligosaccharides

Panel 2–5

FATTY ACIDS AND OTHER LIPIDS

FATTY ACIDS

All fatty acids have a carboxyl group at one end and a long hydrocarbon tail at the other.

Fatty acids

Hundreds of different kinds of fatty acids exist. Some have one or more double bonds in their hydrocarbon tail and are said to be unsaturated. Fatty acids with no double bonds are saturated.

Fatty acids

TRIACYLGLYCEROLS

Fatty acids are stored in cells as an energy reserve (fats and oils) through an ester linkage to glycerol to form triacylglycerols.

Triacylglycerols

CARBOXYL GROUP

Carboxyl group

PHOSPHOLIPIDS

Phospholipids are the major constituents of cell membranes.

Phospholipids

In phospholipids, two of the –OH groups in glycerol are linked to fatty acids, while the third –OH group is linked to phosphoric acid. The phosphate, which carries a negative charge, is further linked to one of a variety of small polar groups, such as choline.

LIPID AGGREGATES

Lipid Aggregates

Their derivatives can form larger aggregates held together by hydrophobic forces:

Lipid Aggregates

OTHER LIPIDS

Lipids are defined as water-insoluble molecules that are soluble in organic solvents. Two other common types of lipids are steroids and polyisoprenoids. Both are made from isoprene units.

Other lipids

STEROIDS

Steroids have a common multiple-ring structure.

Steroids

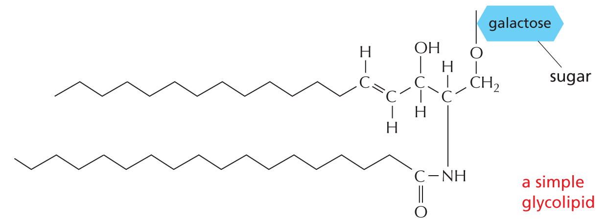
GLYCOLIPIDS

Like phospholipids, these compounds are composed of a hydrophobic region, containing two long hydrocarbon tails, and a polar region, which contains one or more sugars. Unlike phospholipids, there is no phosphate.

Glycolipids

POLYISOPRENOIDS

Polyisoprenoids

dolichol phosphate—used to carry activated sugars in the membrane-associated synthesis of glycoproteins and some polysaccharides

Panel 2–6

THE 20 AMINO ACIDS FOUND IN PROTEINS

FAMILIES OF AMINO ACIDS

The common amino acids are grouped according to whether their side chains are

acidic
basic
uncharged polar
nonpolar

These 20 amino acids are given both three-letter and one-letter abbreviations.

Thus: alanine = Ala = A

BASIC SIDE CHAINS

Basic Side Chains

THE AMINO ACID

The Amino Acid

OPTICAL ISOMERS

The α-carbon atom is asymmetric, allowing for two mirror-image (or stereo-) isomers, L and D.

Optical Isomers

Proteins contain exclusively L-amino acids.

PEPTIDE BONDS

In proteins, amino acids are joined together by an amide linkage, called a peptide bond.

The four atoms involved in each peptide bond form a rigid planar unit (red box). There is no rotation around the C—N bond.

Peptide Bonds

Proteins are long polymers of amino acids linked by peptide bonds, and they are always written with the N-terminus toward the left.

Peptides are shorter, usually fewer than 50 amino acids long. The sequence of this tripeptide is histidine-cysteine-valine.

Peptide Bonds

ACIDIC SIDE CHAINS

Acidic Side Chains

UNCHARGED POLAR SIDE CHAINS

Uncharged Polar Side Chains
Uncharged Polar Side Chains

NONPOLAR SIDE CHAINS

Nonpolar Side Chains

A disulfide bond (red) can form between two cysteine side chains in proteins.

Nonpolar Side Chains

Panel 2–7

A SURVEY OF THE NUCLEOTIDES

BASES

The bases are nitrogen-containing ring compounds, either pyrimidines or purines.

Bases
Bases

NUCLEOTIDES

A nucleotide consists of a nitrogen-containing base, a five-carbon sugar, and one or more phosphate groups.

Nucleotides

Nucleotides are the subunits of the nucleic acids.

PHOSPHATES

The phosphates are normally joined to the C5 hydroxyl of the ribose or deoxyribose sugar (designated 5'). Mono-, di-, and triphosphates are common.

Phosphates

The phosphate makes a nucleotide negatively charged.

BASE–SUGAR LINKAGE

Base-Sugar Linkage

The base is linked to the same carbon (C1) used in sugar—sugar bonds.

SUGARS

Each numbered carbon on the sugar of a nucleotide is followed by a prime mark; therefore, one speaks of the “5-prime carbon,” etc.

Sugars

NOMENCLATURE

The names can be confusing, but the abbreviations are clear.

BASE

NUCLEOSIDE

ABBR.

adenine

adenosine

A

guanine

guanosine

G

cytosine

cytidine

C

uracil

uridine

U

thymine

thymidine

T

Nomenclature

AMP    = adenosine monophosphate

dAMP = deoxyadenosine monophosphate

UDP    = uridine diphosphate

ATP     = adenosine triphosphate

NUCLEIC ACIDS

To form nucleic acid polymers, nucleotides are joined together by phosphodiester bonds between the 5’ and 3’ carbon atoms of adjacent sugar rings. The linear sequence of nucleotides in a nucleic acid chain is abbreviated using a one-letter code, such as AGCTT, starting with the 5’ end of the chain.

Nucleic Acids

NUCLEOTIDES AND THEIR DERIVATIVES HAVE MANY OTHER FUNCTIONS

1 As nucleoside di- and triphosphates, they carry chemical energy in their easily hydrolyzed phosphoanhydride bonds.

Nucleotides and their derivatives

2 They combine with other groups to form coenzymes.

Nucleotides and their derivatives

3 They are used as small intracellular signaling molecules in the cell.

Nucleotides and their derivatives

QUESTION 2–15

Which of the following statements are correct? Explain your answers.

A. Proteins are so remarkably diverse because each is made from a unique mixture of amino acids that are linked in random order.

B. Lipid bilayers are macromolecules that are made up mostly of phospholipid subunits.

C. Nucleic acids contain sugar groups.

D. Many amino acids have hydrophobic side chains.

E. The hydrophobic tails of phospholipid molecules are repelled from water.

F. DNA contains the four different bases A, G, U, and C.

QUESTION 2–16

A. How many different molecules composed of (a) two, (b) three, and (c) four amino acids, linked together by peptide bonds, can be made from the set of 20 naturally occurring amino acids?

B. Assume you were given a mixture consisting of one molecule each of all possible sequences of a smallish protein of molecular mass 4800 daltons. If the average molecular mass of an amino acid is, say, 120 daltons, how much would the sample weigh? How big a container would you need to hold it?

C. What does this calculation tell you about the fraction of possible proteins that are currently in use by living organisms (the average molecular mass of proteins is about 30,000 daltons)?

QUESTION 2–17

This is a biology textbook. Explain why the chemical principles that are described in this chapter are important in the context of modern cell biology.

QUESTION 2–18

A. Describe the similarities and differences between van der Waals attractions and hydrogen bonds.

B. Which of the two bonds would form (a) between two hydrogens bound to carbon atoms, (b) between a nitrogen atom and a hydrogen bound to a carbon atom, and (c) between a nitrogen atom and a hydrogen bound to an oxygen atom?

QUESTION 2–19

What are the forces that determine the folding of a macromolecule into a unique shape?

QUESTION 2–20

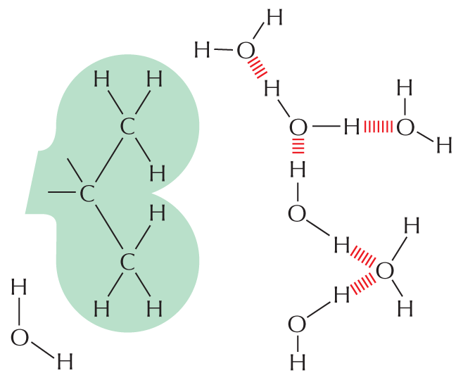
Fatty acids are said to be “amphipathic.” What is meant by this term, and how does an amphipathic molecule behave in water? Draw a diagram to illustrate your answer.

QUESTION 2–21

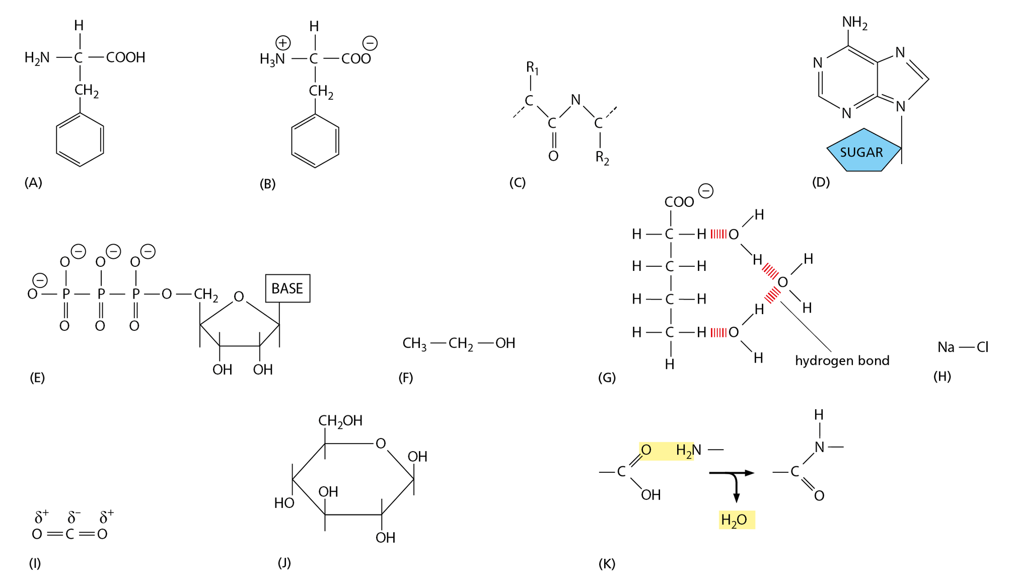
Are the formulas in Figure Q2–21 correct or incorrect? Explain your answer in each case.

Eleven chemical structures labeled from A to K.

Figure Q2–21