1.12 Shorthand Notations

Learning organic chemistry requires drawing numerous molecules, but drawing the complete, detailed Lewis structure each and every time becomes tedious and quite cumbersome. For this reason, organic chemists have devised various shorthand notations that save time but do not entail any loss of structural information.

We will use these shorthand notations throughout the rest of the book. You should therefore take the time now to become comfortable with them.

1.12a Lone Pairs and Charges

Lone pairs of electrons are frequently omitted. They have vital roles in many organic reactions, however, so you must be able to put them back in as necessary. Doing so requires knowledge of how formal charge relates to the numbers of bonds and lone pairs on various atoms, as illustrated in Table 1-5. Pay particular attention to the fact that the atoms have octets in all of the scenarios shown, except in the case of a carbocation (C+).

Table 1-5 is titled, formal charges on atoms with various bonding scenarios. �): The table has four columns and six rows. The rows represent the names of the atoms. The columns represent bonding scenarios with formal charges negative 1, 0, and positive 1. The atoms are represented with their symbols. Data are included in the accompanying table. Empty cell Formal Charge Formal Charge Formal Charge Atom Negative 1 0 Positive 1 Carbon Carbon carrying a negative charge, with a lone pair of electrons and three single bonds Carbon with four single bonds Carbon with three single bonds and no octet, carrying a positive charge Nitrogen Nitrogen atom carrying a negative charge, with two lone pairs and two single bonds Nitrogen atom with three single bonds and one lone pair of electrons Nitrogen atom carrying a positive charge, with four single bonds Oxygen Oxygen with three lone pairs and a single bond, carrying a negative charge Oxygen with two lone pairs of electrons and two single bonds Oxygen atom carrying a positive charge, with one lone pair and three single bonds Halogen (X equals F, Cl, Br, I) Atom X carrying a negative charge, with four lone pairs of electrons Atom X with three lone pairs of electrons and a single bond Atom X carrying a positive charge, with two lone pairs and two single bonds

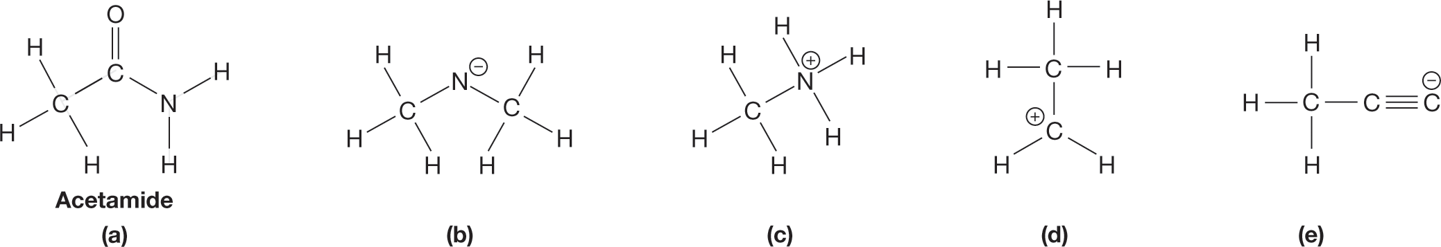
Connections Acetamide [Problem 1.24(a)] can be used as a plasticizer, an additive that increases the plasticity of a material. Acetamide also has some use as an industrial solvent.

problem 1.24 Draw the complete Lewis structure of each of the following species, including lone pairs. If the Lewis structure is already complete, state this.

Condensed structural formulas show five different organic compounds. The first structure shows a central carbon atom bonded to another carbon atom and a nitrogen atom in a bent fashion. The central carbon atom is further bonded to an oxygen atom by double bonds, and the nitrogen atom is bonded to two hydrogen atoms. The second structure shows a nitrogen atom with a negative charge bonded to two methyl groups in a bent fashion. The third structure shows a carbon atom bonded to a nitrogen atom carrying a positive charge. The nitrogen atom is further bonded to three hydrogen atoms. The fourth structure shows two carbon atoms bonded together by a single bond. One of these is bonded to three hydrogen atoms, while the other carries a positive charge and is bonded to two hydrogen atoms. The fifth structure shows a linear chain of three carbon atoms. Carbon 1 carries a negative charge and is bonded to carbon 2 by a triple bond.

1.12b Condensed Formulas

An illustration shows the conversion of a condensed structural formula of an organic compound to its Lewis structure. The condensed structural formula and the Lewis structure both show two carbon atoms bonded together by a single bond. Carbon 1 is bonded to a nitrogen atom and a hydrogen atom, and carbon 2 is bonded to three hydrogen atoms. An arrow from the first structure, which consists entirely of single bonds, leads to the second, which shows a double bond between carbon 1 and the nitrogen atom. The nitrogen atom carries a negative charge and has two lone pairs of electrons. The caption reads, Lewis structure of CH3CHN minus: To convert from the skeleton on the left to the Lewis structure on the right, an extra C-N bond and two lone pairs in red must be added.
FIGURE 1-29 Lewis structure of CH3CHN To convert from the skeleton on the left to the Lewis structure on the right, an extra C—N bond and two lone pairs (in red) must be added.

Condensed formulas allow us to include molecules and molecular ions as part of regular text. Each nonhydrogen atom is written explicitly, followed immediately by the number of hydrogen atoms that are bonded to it. Adjacent nonhydrogen atoms in the condensed formula are interpreted as being covalently bonded to each other. For example, the condensed formula CH3CHN indicates that there is a central C atom bonded to another C atom and to a N atom, giving rise to the skeleton that appears on the left in Figure 1-29. The structure is completed by adding the electrons shown in red—a double bond between C and N and two lone pairs on N.

Solved Problem 1.25

Draw the Lewis structure for crotonaldehyde, CH3CHCHCHO.

Think

SHOW SECTION

Which nonhydrogen atoms are bonded together? How can we add bonds and lone pairs to maximize the number of octets and also conform to the total charge of zero? How many total valence electrons must be accounted for in this compound?

Solve

SHOW SECTION

The condensed formula indicates the atoms should be connected as shown below on the left. To arrive at a total charge of zero, we give each C atom a total of four bonds and we give the O atom two bonds and two lone pairs. Double-checking the structure, notice that it has 28 valence electrons, as it should.

An illustration shows the conversion of the condensed structural formula of crotonaldehyde to its Lewis structure. The condensed structural formula and the Lewis structure both show four carbon atoms bonded together. Carbon 1 is bonded to a hydrogen atom and an oxygen atom, carbons 2 and 3 are bonded to a hydrogen atom each, and carbon 4 is bonded to three hydrogen atoms. An arrow from the first structure, which consists entirely of single bonds, leads to the second, which shows double bonds between carbons 2 and 3, and carbon 1 and the oxygen atom. The oxygen atom has two lone pairs of electrons.

Connections Crotonaldehyde is found in some foodstuffs, such as soybean oil. It is also used as a precursor in the industrial synthesis of vitamin E and sorbic acid, a food preservative.

Often a molecule will have multiple CH2 groups bonded together. In these cases, we can simplify a condensed formula using the notation (CH2)n. Thus, CH3CH2CH2CH2CH3 simplifies to CH3(CH2)3CH3.

Parentheses are also used to clarify situations in which three or four groups are attached to the same atom. In 2-methylbutane (Fig. 1-30a), for example, the second C atom from the left is bonded to two CH3 groups and one CH2CH3 group. Its condensed formula is written as CH3CH(CH3)CH2CH3, indicating that the CH3 group in parentheses and the CH2CH3 group are both bonded to the preceding CH carbon.

Condensed formulas and Lewis structures of 2-methylbutane, ethanoic acid, and cyclohexane. The condensed formula of 2-methybutane is CH3 CH open parenthesis CH3 close parenthesis CH2 CH3. This is the same as the Lewis formula, which shows a chain of four carbon atoms connected by single bonds. Carbon 2 is bonded to a methyl group. The condensed formula of ethanoic acid, also known as acetic acid, is CH3 CO2 H. This is the same as the Lewis formula, which shows a carbon atom bonded to three hydrogen atoms and to another carbon atom in a carboxyl group. The two oxygen atoms in the carboxyl groups each have two lone pairs of electrons. The condensed formula of cyclohexane is CH2 CH2 CH2 CH2 CH2. The partially condensed form shows a hexagonal ring of six carbon atoms bonded by single bonds, with a �H2� beside each carbon atom to represent the two hydrogen atoms bonded to each carbon. The Lewis structure shows a hexagonal ring of six carbon atoms bonded by single bonds, with each carbon bonded to two hydrogen atoms. The caption reads, Condensed formulas and branching: Condensed formulas are shown on the top and Lewis structures are shown on the bottom. a. Parentheses in a condensed formula denote that the group is attached to the previous C. b. The CO2 notation represents a C atom that is doubly bonded to one O atom and singly bonded to another. c. Rings are generally not shown in their condensed formulas, but they are commonly shown in their partially condensed form.
FIGURE 1-30 Condensed formulas and branching Condensed formulas are shown on the top and Lewis structures are shown on the bottom. (a) Parentheses in a condensed formula denote that the group is attached to the previous C. (b) The CO2 notation represents a C atom that is doubly bonded to one O atom and singly bonded to another. (c) Rings are generally not shown in their condensed formulas, but they are commonly shown in their partially condensed form.

Many common organic compounds contain structures in which a carbon atom is bonded to one oxygen atom by a double bond and to a second oxygen atom by a single bond. We can write this group in the form –CO2–, as shown in Figure 1-30b for acetic acid (CH3CO2H). Another common bonding arrangement is –CHO, which is often abbreviated as CHO, as shown previously in Solved Problem 1.25.

Condensed formulas for cyclic structures, like cyclohexane (Fig. 1-30c), are problematic. If the formula is written on a single line of text, the leftmost C atom must be bonded to the rightmost one to complete the ring. This would appear as follows: . Because this is so cumbersome, we generally do not represent rings in their fully condensed forms. Instead, rings are often depicted in their partially condensed form, as shown at the right in Figure 1-30c.

1.12c Line Structures

Line structures, like condensed formulas, are compact and can be drawn quickly and easily. Unlike condensed formulas, however, they are not intended to be written as part of text. The rules for drawing line structures are as follows:

Rules for Drawing Line Structures

 Carbon atoms are not drawn explicitly, but they are implied at the intersection of every two or more lines and at the end of every bond that is drawn, unless another atom is written there already.

 Hydrogen atoms bonded to carbon are not drawn, but hydrogen atoms bonded to all other atoms are.

 All noncarbon and nonhydrogen atoms, called heteroatoms, are drawn.

 Bonds to hydrogen are not drawn, but all other bonds are drawn explicitly.

 Several carbon atoms bonded in a single chain are represented by a zigzag structure: .

 Enough hydrogen atoms are assumed to be bonded to each carbon atom to fulfill the carbon atom’s octet, with close attention paid to the formal charge on carbon (see Table 1-5, p. 30).

 Lone pairs of electrons are generally not shown unless they are necessary to emphasize an important aspect of an atom.

The line structure of CH3CH2CH2CH2CH2CH2CH2NH2 is shown in Figure 1-31. Notice that the intersection of each bond line represents a C atom, as does the end of the bond on the left side of the molecule. The NH2 group is written in explicitly.

An illustration shows the conversion of a condensed structural formula of an organic compound to its skeletal structural formula. The condensed formula shows seven carbon atoms connected in a zigzag fashion. Carbon 1 is connected to an amine group, carbon 7 is connected to three hydrogen atoms, and each of the other carbon atoms are connected to two hydrogen atoms. An arrow from the condensed formula leads to the skeletal structural formula, which shows a zigzag line with three crests and four troughs and an amine group at the end. The skeletal structural formula omits all carbons and all hydrogens bonded to the carbon atoms. The caption reads, Line structure of CH3CH26NH2: In the line structure on the right, neither the C atoms nor the H atoms attached to C are shown. However, the N atom is shown, and so are the H atoms attached to N.
FIGURE 1-31 Line structure of CH3(CH2)6NH2 In the line structure on the right, neither the C atoms nor the H atoms attached to C are shown. However, the N atom is shown, and so are the H atoms attached to N.

Connections Pyrrole is a structural component of the heme group of hemoglobin, which is the protein responsible for oxygen transport in blood. Benzoic acid occurs naturally in some plants. It is a component of ointments used to treat fungal skin diseases, and is a precursor to sodium benzoate, a food preservative.

problem 1.26 Redraw each of the following Lewis structures as the corresponding line structure.

Three Lewis structures showing pyrrole, benzoic acid, and another organic compound. The Lewis structure of pyrrole shows a five-membered ring consisting of four carbon atoms and a nitrogen atom with one lone pair. Double bonds connect the carbon atoms in the second and third positions and in the fourth and fifth positions. The Lewis structure of benzoic acid shows a hexagonal six-carbon ring with alternating single and double bonds. Carbon atom 1 is bonded to a carboxyl group where each oxygen atom has two lone pairs of electrons. The third Lewis structure shows a five-carbon chain, where carbon 4 is bonded to an oxygen atom that has one lone pair and carries a positive charge. This oxygen atom is further bonded to a hydrogen atom and a methyl group.

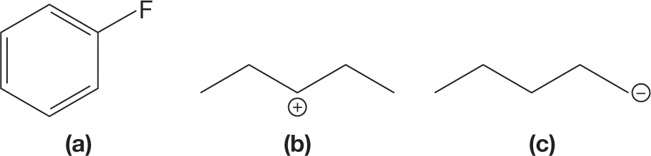
problem 1.27 For each of the following line structures, draw in all carbon atoms, hydrogen atoms, and lone pairs.

Three skeletal structural formulas of different organic compounds. The first skeletal structural formula shows a hexagonal ring with alternating single and double bonds. A line from one of the vertices leads to a fluorine atom. The second structure shows a zigzag line with two crests and three troughs. The atom in the trough in the middle carries a positive charge. The third skeletal structural formula shows a zigzag line with two crests and three troughs. The atom in the trough at the right end carries a negative charge.

YOUR TURN 1.13

SHOW ANSWERS

A student mistakenly interprets the line structure at the right as but-2-yne (CH3CCCH3). What mistake did the student make?

A chair-shaped skeletal structural formula shows a triple bond along its horizontal portion.

The compound has six carbon atoms, not four carbon atoms, and is hex-3-yne, CH3CH2CCCH2CH3.

An illustration shows skeletal structural formula with an arrow followed by the condensed structural formula of hex-3-yne. The skeletal structure shows a linear chain of four carbon atom with a triple bond between second and third carbon atoms. The first and fourth carbon atoms are single bonded to a methyl group each. The condensed structural formula shows a methylene group single bonded to a carbon atom further triple bonded to another carbon atom and further single bonded to another methylene group. The methylene groups at the end are further single bonded to a methyl group each.

Solved Problem 1.28

Why is it incorrect to draw resonance structures for propene as shown here?

Two skeletal structural formulas of propene with a crossed-out double-headed arrow between them. Each skeletal structural formula is shaped like a V. The first structure has a double bond along its right arm, and shows a curved arrow that leads from the double bond to the left arm. The second structure has a double bond along its left arm.

Think

SHOW SECTION

What would the structures look like as complete Lewis structures (i.e., with all hydrogen atoms drawn in)? What rule is broken in the transformation from the first structure to the second?

Solve

SHOW SECTION

If all atoms and bonds are included, then the transformation would appear as follows.

Two condensed structural formulas of propene with a crossed-out double-headed arrow between them. Each structure shows three carbon atoms connected in a bent fashion, with the central carbon bonded to a hydrogen atom. In the first structure, the carbon on the right is bonded to two hydrogen atoms by single bonds and to the central carbon by a double bond. The carbon on the left is bonded to three hydrogen atoms and to the central carbon by single bonds. An arrow from the double bond leads to the single bond between the other two carbon atoms. An arrow labeled �bond broken� points to the single bond between the carbon on the left and one of the hydrogen atoms it is bonded to. In the second structure, the double bond has changed position, and now lies between the central carbon and the carbon on its left, which is only connected to two hydrogen atoms. The carbon on the right is now connected to three hydrogen atoms, and an arrow labeled �bond formed� points to the bond between the new hydrogen atom and the carbon on the right.

This process entails moving a H atom from the C on the left to the C on the right. When drawing resonance structures, however, only electrons can be moved. All atoms must remain frozen in place.

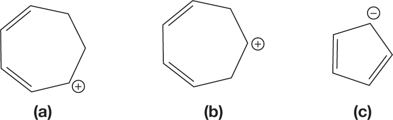
problem 1.29 Draw all resonance structures for each of the ions shown here using only line structures.

Three skeletal structural formulas of different organic compounds. The first skeletal structural formula shows a seven-membered ring with double bonds between the atoms in the first and second position and in the third and fourth position. The atom in the fifth position carries a positive charge. The second skeletal structural formula shows a seven-membered ring with double bonds between the atoms in the first and second position and in the third and fourth position. The atom in the sixth position carries a positive charge. The third skeletal structural formula shows a five-membered ring with double bonds between the atoms in the first and second position and in the third and fourth position. The atom in the fifth position carries a negative charge.