A.3 Haloalkanes and Nitroalkanes: Roots, Prefixes, and Locator Numbers

To specify a particular substituent in an IUPAC name, you must be able to recognize the substituent in the molecule’s structure and you must know the corresponding name for the substituent.

 The halo substituents, –F, –Cl, –Br, and –I, are called fluoro, chloro, bromo, and iodo, respectively.

 The nitro substituent is –NO2.

With this information, we can name a substituted straight-chain alkane that has a single halo or nitro substituent, so-called haloalkanes and nitroalkanes, according to the following rules.

Naming a Straight-Chain Alkane with One Substituent

 1. Identify the main chain or parent chain as the longest continuous chain of carbon atoms. The name of the corresponding alkane from Table A-1 will be the root of the molecule’s name.

 2. Identify the substituent and add the name of the substituent as a prefix to the left of the root.

 3. Number each carbon atom of the chain sequentially, beginning with C1 at one end of the chain, so that the carbon atom to which the substituent is bonded receives the lowest possible number. The number assigned to the carbon that is bonded to the substituent is called the locator number or locant.

 4. Write the locator number to the left of the substituent name and add a hyphen to separate the locator number from the rest of the name.

Examples of how to apply these rules are shown in Figure A-3 for 1-chloropropane and 2-chloropropane.

An illustration shows the skeletal structural formulas of 1-Chloropropane and 2-Chloropropane. The first structure shows a zigzag line with two crests and two troughs, with a chlorine atom at the first crest. Numbers from 1 to 3 are assigned to the structure from the left to the right, one for each carbon atom. An arrow pointing to the first position reads, �Numbering starts from this end to give chlorine the smaller locator number, 1.� The text below the structure reads, �1-Chloropropane.� The second structure shows an inverted V with two troughs and one crest. Numbers from 1 to 3 are assigned to the structure from the left to the right. A chlorine atom is bonded to the atom at the second position. The text below the structure reads, �2-Chloropropane.� An arrow pointing to the two structures reads, �The longest continuous carbon chain has three carbon atoms, so the root is propane.� The caption reads, �Naming a straight-chain alkane with a single substituent: The highlighted carbons indicate the longest continuous carbon chain. The blue numbers are the locator numbers.�
FIGURE A-3 Naming a straight-chain alkane with a single substituent The highlighted carbons indicate the longest continuous carbon chain. The blue numbers are the locator numbers.

Solved Problem A.3

What is the IUPAC name of this molecule?

A skeletal structural formula shows a zigzag line with two crests and three troughs. A nitro group is bonded to the atom at the first crest.

Think

SHOW SECTION

How many carbon atoms does the longest continuous carbon chain have? What is the corresponding root? What are the two choices for assigning C1? Which of those choices would give the NO2 group the lower locator number? How do you add the locator number and the name of the substituent to the IUPAC name?

Solve

SHOW SECTION

The longest continuous carbon chain has five carbon atoms, as highlighted at the right, so the root is pentane. C1 must be one of the carbon atoms at the end of the chain, so there are two possible numbering systems. In the first numbering system, the locator number for the NO2 group is 4, whereas in the second numbering system it is 2. Therefore, the second choice is correct. Finally, we add the locator number, a hyphen, and the substituent name as a prefix, so the complete IUPAC name is 2-nitropentane.

An illustration shows the incorrect and correct skeletal structural formulas of an organic compound. Each structure shows a zigzag line with two crests and three troughs. A nitro group is bonded to the atom at the first crest from the right. In the first structure, numbers from 1 to 5 are assigned from the left to the right, with the nitro group bonded to the atom in the fourth position. The text below the structure reads, �Incorrect.� In the second structure, numbers from 1 to 5 are assigned from the right to the left, with the nitro group bonded to the atom in the second position. The text below the structure reads, �Correct.� An arrow pointing toward the first position reads, �Numbering starts from this end to give the nitro group the smaller locator number, 2.�

problem A.4 Write the IUPAC name for each of the following molecules.

Four illustrations show the skeletal structural formulas of different organic compounds. The first illustration shows a zigzag line with three crests and three troughs. There is a nitro group at one end of the chain. The second illustration shows a zigzag line with three crests and three troughs. A chlorine atom is bonded to the atom at the first crest. The third illustration shows a zigzag line with three crests and three troughs. A bromine atom is bonded to the atom at the second crest. The fourth illustration shows a zigzag line with two crests and three troughs. There is a fluorine atom at the third trough.

Sometimes there will be only one locator number possible for a particular substituent, regardless of which end of the chain is assigned C1.

When there is only one number locator possible for a substituent, the number locator is not added to the IUPAC name.

This is the case for bromomethane and iodoethane, shown below. Bromomethane has just a single carbon, so the Br substituent must be attached to C1. Iodoethane has two carbon atoms, so you might think that the I substituent could be bonded to C1 or C2, yielding 1-iodoethane and 2-iodoethane as possible IUPAC names.

An illustration shows the skeletal structural formulas of bromomethane and iodoethane. The first structure shows a carbon atom bonded to a bromine atom and three hydrogen atoms. The number 1 is assigned to the carbon atom. The text above the structure reads, �The only locator number possible for Br is 1.� The text below the structure reads, �Bromomethane.� The second structure has two parts. The first part shows an inverted V with the right arm slightly shorter than the left. An iodine atom is bonded at the shorter end. Numbers 1 and 2 are assigned to the carbon atoms from the right to the left. The text below reads, �Iodoethane.� The second part is in parentheses, which contain the word �not� followed by a V-shaped structure with the left arm slightly shorter than the right. An iodine atom is bonded at the shorter end. Numbers 1 and 2 are assigned to the carbon atoms from the right to the left. The text above the two-part structure reads, �The name 2-iodoethane does not give the smallest locator number for I, which is 1.�

Connections Bromomethane was used as a pesticide until being phased out in the early 2000s because it is believed to deplete Earth’s ozone layer.

The name 2-iodoethane, however, violates Rule 3 (p. 55) because the choice for assigning C1 does not give the lowest possible number to the carbon atom that is attached to the substituent.

If there are two or more substituents in the molecule, then there are additional considerations, not only to determine the numbering system for the main chain, but also to add prefixes for the substituents.

Establishing the Numbering System for a Main Chain That Has Two or More Substituents

 Choose C1 so that the substituent that is encountered first has the lowest locator number.

 If each choice for C1 results in a tie for the locator number of the first substituent, then C1 is chosen so that the second substituent encountered has the lowest locator number.

 If there is still a tie, keep looking to break the tie by giving the lowest possible locator number to the next substituent encountered.

 If a tie cannot be broken in this way, repeat these steps so that the lowest locator number is assigned to the substituent whose name is alphabetically first.

The examples below show the proper numbering system for molecules containing multiple generic substituents, G.

Four skeletal structural formulas show the correct and incorrect manner of numbering carbon chains. The illustration is divided into two boxes, each with two skeletal structural formulas placed one above the other. The structures on the top are correct, while the ones below are the incorrect versions. In the first box, each structure shows a zigzag line with three troughs and three crests. A substituent G is bonded to the atom at the first crest from the left, and another substituent G is bonded to the second trough from the left. In the first structure, the carbon atoms are numbered 1 to 6 from left to right. An arrow pointing to the substituent in the second position reads, �Numbering starts from the left to give the first substituent the lowest locator number, 2.� In the second structure, the carbon atoms are numbered 1 to 6 from right to left. An arrow pointing to the substituent in the fourth position reads, �Otherwise, the first substituent encountered would receive a locator number of 4.� In the second box, each structure shows a zigzag line with two crests and two troughs. Each end of the chain is occupied by a substituent G. A substituent is also bonded to the atom at the first crest from the right. In the first structure, the carbon atoms are numbered 1 and 2 from right to left. An arrow pointing to the substituent groups reads, �Numbering starts from the right to give the first and second substituents each a locator number of 1.� In the second structure, the carbon atoms are numbered 1 and from left to right. An arrow pointing to the substituent at the end of the chain reads, �Otherwise, the second substituent encountered would receive a locator number of 2.�

Adding Prefixes When the Main Chain Has Two or More Substituents

 The names of all substituents appear as prefixes before the root, and they are ordered alphabetically according to the substituent’s name.

 When there are two or more of the same substituent, the appropriate prefix is added just before the name of the substituent:

Number of Substituents

2

3

4

5

6

7

8

9

10

Prefix

di

tri

tetra

penta

hexa

hepta

octa

nona

deca

  These multiplying prefixes are not considered part of the substituent name when alphabetizing.

 One locator number is added for each substituent.

 If there is just one of a particular substituent, the locator number appears immediately to the left of the substituent it describes.

 If there two or more of the same substituent, the locator numbers appear immediately to the left of the prefix di, tri, etc. Furthermore, the locator numbers are written in increasing numerical order, separated from each other by commas.

 Hyphens are added to separate a letter in the name from a locator number.

 No spaces should appear in these IUPAC names.

Solved Problem A.5

What is the IUPAC name of this molecule?

An illustration shows the skeletal structural formula of an organic compound. The structure shows a zigzag line with four crests and three troughs. A nitro group occupies the position at the first crest. Two fluorine atoms are bonded to the atom at the first trough, and one fluorine atom each is bonded to the atoms at the second and third troughs. Another nitro group is bonded to the atom at the third crest.

Think

SHOW SECTION

How many carbon atoms does the longest continuous carbon chain have and what is the corresponding root? On which end of the chain should numbering begin? What are the names of the substituents and which comes first alphabetically? How do you indicate the number of each kind of substituent and what locator number is assigned to each substituent?

Solve

SHOW SECTION

The longest continuous carbon chain has six carbon atoms, so the root is hexane. Numbering must begin on the left to give the first substituent encountered the smallest locator number, 1, as shown at the right.

There are two types of substituents, nitro and fluoro. “Fluoro” comes first alphabetically, so it appears first in the IUPAC name. The prefix tetra is added to indicate four fluoro substituents, and the locator numbers 1,1,3,5 are added to indicate their positions along the chain. The prefix di is added to indicate two nitro substituents, and the corresponding locator numbers are 1,4. The IUPAC name, therefore, is 1,1,3,5-tetrafluoro-1,4-dinitrohexane.

An illustration shows the skeletal structural formula of an organic compound. The structure shows a zigzag line with four crests and three troughs. Numbers from 1 to 6 are assigned to the carbon atoms in the structure from the left to the right. A nitro group occupies the position at the first crest. Two fluorine atoms are bonded to the atom at the first trough, and one fluorine atom each is bonded to the atoms at the second and third troughs. Another nitro group is bonded to the atom at the third crest.

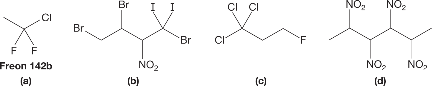
problem A.6 Write the IUPAC name for each of the following molecules.

Four illustrations show the skeletal structural formulas of different organic compounds. The first illustration shows a V-shaped structure with two crests and one trough. A chlorine atom is bonded to the right end. Two fluorine atoms are bonded to the trough in the shape of an inverted V. The text below reads, �Freon 142b.� The second illustration shows a zigzag line with three crests and three troughs. A bromine atom each is bonded to the first crest, to the atom at the second crest, and the third trough. A nitro group is bonded to the atom at the second trough. Two fluorine atoms are bonded to the atom at the third crest in the shape of a V. The third illustration shows a zigzag line with two crests and three troughs. A chlorine atom and a fluorine atom are bonded at the first and third troughs respectively. Two chlorine atoms are bonded to the atom at the first crest. The fourth illustration shows a zigzag line with three crests and three troughs. A nitro group each is bonded to the atoms at the first and second crests, and second and third troughs.

Connections Freon 142b is primarily used as a refrigerant.

As an example where the alphabetical order of the substituent names establishes which end of the carbon chain is C1, consider 1-bromo-3-fluoropropane. Numbering from either end of the chain would result in locator numbers of 1 and 3, but “bromo” comes before “fluoro” alphabetically, so the Br substituent receives the lower locator number.

An illustration shows the correct and incorrect skeletal structural formulas of 1-Bromo-3-fluoropropane. Each structure shows a zigzag line with two crests and three troughs. A fluorine atom and a bromine atom are bonded to the third and first troughs respectively. In the first structure, numbers 1, 2, and 3 are assigned from the right to the left. An arrow pointing to the bromine atom reads, �Bromo� comes before �fluoro� alphabetically.� The text below the structure reads, �1-Bromo-3-fluoropropane.� The second structure is in parentheses which contain the word �not� followed by the structure. Here, the numbers 1, 2, and 3 are assigned from the left to the right. The text below the structure reads, �1-Fluoro-3-bromopropane.�