A.7 Trivial Names or Common Names

In Section A.1, we mentioned that most organic compounds were originally given names based on their properties or origin. As the language of chemistry grew and evolved, a sizable number of these trivial names or common names came into regular use, and eventually many of them became integrated into the IUPAC system. Nonscientists sometimes know these trivial names (e.g., formaldehyde, glucose, or adrenaline), even if they don’t know the exact structures of these substances.

Although we will minimize the use of trivial names in this book, they are so frequently employed by a substantial number of professionals that you will need to know them to communicate effectively. Thus, where appropriate, we will provide both the IUPAC name and the trivial name together.

In this book, trivial names will generally appear in parentheses, whereas IUPAC names will not.

A.7a Trivial Names of Alkanes and Alkyl Groups

In Section A.2, we learned how to name straight-chain alkanes such as butane and pentane. Historically, to differentiate these from their branched counterparts, straight-chain alkanes were given the prefix n-, which stands for normal. Common branched alkanes with the same number of carbon atoms were given the same root but a different prefix. As shown in Figure A-7, for example, n-butane is the trivial name for butane, whereas isobutane, the only branched alkane with four carbon atoms, is the trivial name for methylpropane. Similarly, n-pentane, isopentane, and neopentane all have five carbon atoms and are the trivial names for pentane, methylbutane, and dimethylpropane, respectively.

A two-part illustration shows the skeletal structures of five different organic compounds. The first part of the illustration shows two structures, one of the straight-chain and one of the branched structure of C4H10. The second part shows three structures, one of the straight-chain and two of the branched structures of C5H12. The IUPAC name of each structure is shown below it, with its trivial name in parentheses. The first structure shows a zigzag line with two crests and two troughs. Text below the structure reads, �Butane (n-Butane).� The second structure shows an inverted V with a methyl group attached to the central atom. Text below the structure reads, �Methylpropane (Isobutane).� The third structure shows a zigzag line with two crests and three troughs. Text below the structure reads, �Pentane (n-Pentane).� The fourth structure shows a zigzag line with two crests and two troughs. A methyl group is attached to the atom at the first crest. Text below the structure reads, �Methylbutane (Isopentane).� The fifth structure shows an inverted V with two methyl groups attached to the central atom. Text below the structure reads, �Dimethylpropane (Neopentane).� The caption reads, �Trivial names of alkanes: Trivial names of these molecules appear in parentheses.�
FIGURE A-7 Trivial names of alkanes Trivial names of these molecules appear in parentheses.

A much more common use of trivial names involves branched alkyl substituents. The examples shown in Figure A-8 appear frequently and should be committed to memory. In fact, the branched alkyl groups in Figure A-8 (isopropyl, isobutyl, sec-butyl, tert-butyl, isopentyl, and neopentyl) appear so frequently that they have become accepted IUPAC names.

A three-part illustration shows the skeletal structures of nine different organic compounds. The first part of the illustration shows two structures, one of the straight-chain and one of the branched structure of C3H7. The second part shows four structures, one of the straight-chain and three of the branched structures of C4H9. The third part shows three structures, one of the straight-chain and two of the branched structures of C5H11. The IUPAC name of each structure is shown below it, with its trivial name in parentheses. The first structure shows an inverted V with one crest and two troughs. An alkyl chain, represented by a wavy line is bonded to the atom at the first trough. Text below the structure reads, �Propyl (n-Propyl).� The second structure shows a two-carbon chain. A methyl group, and an alkyl chain is bonded to carbon 1. Text below the structure reads, �1-Methylethyl (Isopropyl).� The third structure shows a four-carbon chain with an alkyl chain attached to carbon 1. Text below the structure reads, �Butyl (n-Butyl).� The fourth structure shows a three-carbon chain with an alkyl chain and a methyl group bonded to carbon 1 and carbon 2 respectively. Text below the structure reads, �2-Methylpropyl (Isobutyl).� The fifth structure shows a three-carbon chain with an alkyl chain and a methyl group bonded to carbon 1. Text below the structure reads, �1-Methylpropyl (sec-Butyl) (s-Butyl).� The sixth structure shows a two-carbon chain with an alkyl chain and two methyl groups bonded to carbon 1. Text below the structure reads, �1,1-Dimethylethyl (tert-Butyl) (t-Butyl).� The seventh structure shows a five-carbon chain with an alkyl chain bonded to carbon 1. Text below the structure reads, �Pentyl (N-Pentyl).� The eighth structure shows a four-carbon chain with an alkyl chain and a methyl group bonded to carbon one and carbon three respectively. Text below the structure reads, �3-Methylbutyl (Isopentyl).� The ninth structure shows a three-carbon chain with an alkyl chain and two methyl groups bonded to carbon one and carbon two respectively. Text below the structure reads, �2,2-Dimethylpropyl (Neopentyl).� The caption reads, �Trivial names of common alkyl substituents: Trivial names of these substituents appear in parentheses.�
FIGURE A-8 Trivial names of common alkyl substituents Trivial names of these substituents appear in parentheses.

Note that we have already learned how to name each of these alkyl substituents under the IUPAC system. The n-butyl group, for example, has the IUPAC name butyl, and the neopentyl group has the IUPAC name 2,2-dimethylpropyl.

To help learn the trivial names for the alkyl substituents below, you should know that the prefixes sec and tert stand for secondary and tertiary, respectively, and reflect the type of carbon atom at the point of attachment. In general, we distinguish carbon atoms based on the number of other carbon atoms to which they are directly bonded (Fig. A-9).

An illustration shows the skeletal structure of an organic compound. The structure shows a six-carbon chain with two methyl groups bonded to carbon 2, and one methyl group bonded to carbon 5. An arrow pointing to the methyl group reads, �A 1-degree carbon.� An arrow pointing to carbon 3 reads, �A 2-degree carbon.� An arrow pointing to carbon 5 reads, �A 3-degree carbon.� An arrow pointing to carbon 2 reads, �A 4-degree carbon.� The caption reads, �Types of carbon: Carbons in a molecule are classified by the number of other carbon atoms that are directly attached.�
FIGURE A-9 Types of carbon Carbons in a molecule are classified by the number of other carbon atoms that are directly attached.

 A primary carbon (abbreviated 1°) is directly bonded to one other carbon atom.

 A secondary carbon (abbreviated 2°) is directly bonded to two other carbon atoms.

 A tertiary carbon (abbreviated 3°) is directly bonded to three other carbon atoms.

 A quaternary carbon (abbreviated 4°) is directly bonded to four other carbon atoms.

Thus, examining the sec-butyl group more closely (Fig. A-10), we can see that the C atom at the point of attachment is a secondary (2°) carbon. The tert-butyl substituent, on the other hand, is attached by a tertiary (3°) carbon.

An illustration shows skeletal structural formulas of s-Butyl and t-Butyl. The first structure shows a four-carbon chain with an alkyl group bonded to carbon 2. An arrow pointing to carbon 2 reads, �A secondary (2-degree) carbon.� Text below the structure reads, �(sec-Butyl) (s-Butyl).� The second structure shows a two-carbon chain with an alkyl group and two methyl groups bonded to carbon 1. An arrow pointing to carbon 1 reads, �A tertiary (3-degree) carbon.� Text below the structure reads, �(tert-Butyl) (t-Butyl).� The caption reads, �Distinguishing C4H9 groups: A sec-butyl group is attached by a secondary C. A tert-butyl group is attached by a tertiary C.�
FIGURE A-10 Distinguishing C4H9 groups A sec-butyl group is attached by a secondary C. A tert-butyl group is attached by a tertiary C.

problem A.13 How would you classify the three unlabeled C atoms in the sec-butyl and tert-butyl groups in Figure A-10?

Solved Problem A.14

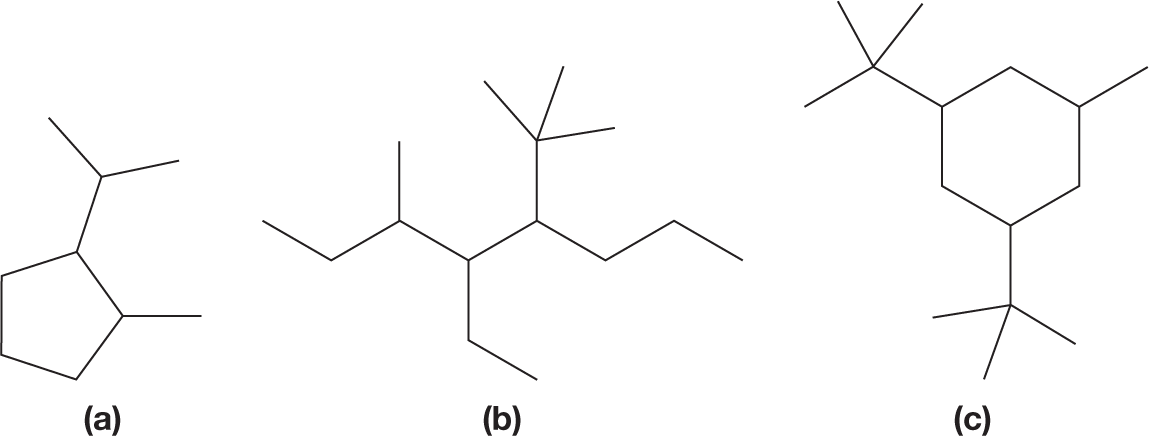
Name this molecule, using names from Figure A-8 for the various alkyl substituents where appropriate.

An illustration shows the skeletal structure of an organic molecule. The structure shows a cyclohexane ring with a methyl group bonded to carbon 1, an Isopropyl group bonded to the carbon at the ortho position, and a tert-Butyl group bonded to the carbon at the para position.

Think

SHOW SECTION

What is the longest carbon chain or largest carbon ring? What is the corresponding root? How do you establish the numbering system to allow each successive substituent to be encountered the earliest? Are there any recognizable alkyl groups appearing in Figure A-8?

Solve

SHOW SECTION

The largest carbon ring is cyclohexane. To allow each successive substituent to be encountered the earliest, C1 is assigned to the carbon that is attached to the methyl group, and the numbers increase clockwise around the ring. The other two substituents, isopropyl and tert-butyl, appear in Figure A-8, so we can name the molecule 4-(tert-butyl)-2-isopropyl-1-methylcyclohexane. (Notice that the substitutent names appear in alphabetical order.)

An illustration shows the skeletal structure of an organic molecule. The structure shows a cyclohexane ring with a methyl group bonded to carbon 1. Numbers are assigned to the ring in a clockwise manner starting with the carbon bonded to the methyl group. An isopropyl group is bonded to carbon 2, and a tert-Butyl group is bonded to carbon 4. An arrow pointing to the Isopropyl group reads, �Isopropyl group.� An arrow pointing to the tert-Butyl group reads, �tert-Butyl group.�

problem A.15 Name the following molecules, using names from Figure A-8 for the various alkyl substituents where appropriate.

An illustration shows the skeletal structural formulas of three different organic molecules. The first structure shows a cyclopentane ring with carbon 1 bonded to an isopropyl group and carbon 2 bonded to a methyl group. The second structure shows an eight-carbon chain with carbon 3 bonded to a methyl group, carbon 4 bonded to an ethyl group, and carbon 5 bonded to a tert-butyl group. The third structure shows a cyclohexane ring with one carbon atom bonded to a methyl group and the two carbon atoms in each of the meta positions bonded to a tert-butyl group each.

A.7b Trivial Names of Haloalkanes

Figure A-11 shows the trivial names for a variety of haloalkanes. Some of these names derive from an older system of naming haloalkanes, which mirrors the one for naming ionic compounds like NaCl (sodium chloride), where the metal is a cation (positively charged) and the halogen is a halide anion (negatively charged). Under this system, the names of haloalkanes take the form alkyl halide.

An eight-part illustration shows the condensed skeletal structural formulas and IUPAC and trivial names of different haloalkanes. The first part shows a carbon atom bonded to three hydrogen atoms and one iodine atom. The text below the structure reads, �Iodomethane (Methyl iodide)� The second illustration shows an inverted V with a chlorine atom at one end. The text below the structure reads, �Chloroethane (Ethyl chloride)� The third illustration shows an inverted V with a chlorine atom at each end. The text below the structure reads, �Dichloromethane (Methyl dichloride) (Methylene chloride)� The fourth illustration shows three chlorine atoms bonded to a central carbon in a triangular fashion. The text below the structure reads, �Trichloromethane (Methyl trichloride) (Chloroform)� The fifth illustration shows three bromine atoms bonded to a central carbon atom in a triangular fashion. The text below the structure reads, �Tribromomethane (Methyl tribromide) (Bromoform)� The sixth illustration shows four chlorine atoms bonded to a central carbon atom. The text below the structure reads, �Tetrachloromethane (Methyl tetrachloride) (Carbon tetrachloride)� The seventh illustration shows a zigzag line with two crests and two troughs. A bromine atom is bonded to the second position of the zigzag line. The text below the structure reads, �2-Bromobutane (sec-Butyl bromide) (s-Butyl bromide)� The eighth illustration shows a central carbon atom bonded to three other carbon atoms and a chlorine atom in a tetrahedral arrangement. The text below the structure reads, �2-Chloro-2-methylpropane (tert-Butyl chloride) (t-Butyl chloride)� The caption reads, �Trivial names of some haloalkanes: The trivial names appear in parentheses.�
FIGURE A-11 Trivial names of some haloalkanes The trivial names appear in parentheses.

Trivial Names for Alkyl Halides

 The name of the alkyl group (R) is followed by the name of the halide anion (F = fluoride, Cl = chloride, Br = bromide, and I = iodide).

 A space separates the two parts of the trivial name.

Under this system, the alkyl group can be one that has been incorporated into the IUPAC system, as is the case for methyl iodide (CH3I), sec-butyl bromide, and tert-butyl chloride.

In addition to the trivial name derived from the above system, some haloalkanes have other trivial names as well. Important ones include methylene chloride (CH2Cl2), chloroform (CHCl3), bromoform (CHBr3), and carbon tetrachloride (CCl4).

problem A.16 What are the IUPAC names for (a) cyclopentyl iodide and (b) n-hexyl bromide?

A.7c Trivial Names of Ethers

Trivial names for ethers (ROR) primarily come from an older naming system that simply identified the alkyl groups to which the oxygen atom is attached (i.e., R and R).

Trivial Names for Ethers

 Write the name of each alkyl group attached to O in alphabetical order, followed by “ether.” The name has the form alkyl alkyl ether, with each word separated by a space.

 If the alkyl groups are identical, the prefix di is used.

The trivial name for 1-methoxypropane (CH3CH2CH2OCH3), for example, is methyl propyl ether, and the trivial name for ethoxyethane (CH3CH2OCH2CH3) is diethyl ether. Other examples are shown in Figure A-12.

An illustration shows the skeletal structures and trivial names of Di-tert-butyl ether and Isobutyl methyl ether. The first structure shows a central oxygen atom bonded to a tert-butyl group on either side. Text below the structure reads, �(Di-tert-butyl ether).� The second structure shows a three-carbon chain, with an oxygen atom bonded to carbon one, and a methyl group bonded to carbon two. The oxygen atom is further bonded to a methyl group. Text below the structure reads, �1-Methoxy-2-methylpropane (Isobutyl methyl ether).� The caption reads, �Trivial names of some ethers: The trivial names appear in parentheses.�
FIGURE A-12 Trivial names of some ethers The trivial names appear in parentheses.

problem A.17 What is the IUPAC name for (a)tert-butyl ethyl ether; (b) cyclohexyl methyl ether; (c)sec-butyl propyl ether?

Connections Often simply referred to as ether, diethyl ether is a very common organic solvent that was once used to anesthetize patients during medical procedures.