2.4 Net Molecular Dipoles and Dipole Moments

Recall from Section 1.7 that a polar covalent bond arises when atoms having different electronegativities are bonded together, and the resulting bond dipole points toward the more electronegative atom. If there is only one polar covalent bond in the entire molecule, as in HF (Fig. 2-9a), then the molecule will have a net molecular dipole, or permanent dipole. That is, one end of the molecule will bear a partial positive charge and the other a partial negative charge of equal magnitude. In HF, the partial negative charge builds up on the side with the fluorine atom (electronegativity = 3.98; see Fig. 1-16, p. 16), while the partial positive charge is left in the vicinity of the hydrogen atom (electronegativity = 2.20), so the net molecular dipole points toward F and the entire molecule is polar.

Condensed structural formulas and electrostatic potential maps of three molecules, FH, CO2, and H2O. The first condensed structure of FH shows a hydrogen atom single-bonded to a fluorine atom. A thick red arrow and a think black arrow both point from the hydrogen atom in the direction of the fluorine atom. The electrostatic potential map shows the ball-and-stick model of FH in an egg-shaped cloud, shaded in blue on the right, turquoise, green, and yellow in the center, and red on the right. A note below reads, �Hydrogen fluoride: Net dipole equals 1.8D.� The second condensed structure of CO2 shows central carbon atom, double bonded to two oxygen atoms. Two thin black arrows from the central carbon lead away from it toward each oxygen atom. The electrostatic potential map shows the ball-and-stick model of CO2 in a dumbbell-shaped cloud, shaded in red on both ends representing oxygen atoms. On moving from the center to either side of the model, the region is shaded in the order, blue, turquoise, green, and yellow. A note below reads, �Carbon dioxide: Net dipole equals 0D.� The third condensed structure of H2O shows a central oxygen atom single-bonded to a hydrogen atom on each side in a bent fashion. Two thin black arrows from each of the hydrogen atoms lead toward the central oxygen atom. A thick red arrow pointing upward passes through the oxygen atom. The electrostatic potential map shows the ball-and-stick model of H2O in a triangular cloud, shaded in red at the upper end representing the oxygen atom, and in blue at the two ends representing the hydrogen atoms. The central portion, from top to bottom, is shaded in yellow, green, and turquoise. A note below reads, �Water: Net dipole equals 1.8D.� The caption reads, Bond dipole moments and net molecular dipole moments: Bond dipole moments are shown as thin black arrows and net molecular dipole moments as thick red arrows. a. HF is a polar molecule, with a net dipole moment of 1.8 D pointing toward the F atom. b. CO2 is nonpolar, because the two C double bond O dipoles point in exactly opposite directions and completely cancel by vector addition. c. Water is a polar molecule, with a net dipole moment of 1.8 D pointing from the point midway between the H atoms toward the O atom.
FIGURE 2-9 Bond dipole moments and net molecular dipole moments Bond dipole moments are shown as thin black arrows and net molecular dipole moments as thick red arrows. (a) HF is a polar molecule, with a net dipole moment of 1.8 D pointing toward the F atom. (b) CO2 is nonpolar, because the two C═O bond dipoles point in exactly opposite directions and completely cancel by vector addition. (c) Water is a polar molecule, with a net dipole moment of 1.8 D pointing from the point midway between the H atoms toward the O atom.

The dipole moment of a molecule is a measure of the magnitude of its dipole and is reported in units of debye (D). To get a feel for this type of unit, it helps to know that a molecule of HF, which is quite polar, has a dipole moment of 1.8 D. Strictly nonpolar molecules, such as H2, have a dipole moment of 0 D.

A dipole moment is a vector, which has both magnitude and direction, so we arrive at the net dipole moment of a molecule by adding the vectors of the bond dipoles together. CO2 (Fig. 2-9b), for example, is nonpolar, despite having two polar covalent bonds. CO2 is linear and symmetrical, so the two CO bond dipoles point in exactly opposite directions, resulting in complete cancellation. Water (Fig. 2-9c), on the other hand, is polar because its two bond dipoles do not point in exactly opposite directions.

YOUR TURN 2.7

SHOW ANSWERS

Like CO2, BeH2 is a linear nonpolar molecule. Using the structure shown, draw dipole arrows above each BeH bond. (For the necessary electronegativity values, see Fig. 1-16, p. 16.)

HBeH

An illustration shows the condensed structure of BeH2. It shows a central beryllium atom single-bonded to two hydrogen atoms. Two thin red arrows point from the beryllium atom in the direction of the hydrogen atoms.

Connections Historically, CCl4 (Fig. 2-10a) was used as a pesticide and was a common organic solvent, and was also used widely in fire extinguishers. We now know, however, that substantial exposure to CCl4 causes acute liver failure and other severe health problems, including cancer, so these uses have largely been phased out.

Tetrahedral molecules that have polar covalent bonds can be polar or nonpolar, depending on their symmetry. CCl4, for example, is nonpolar because the four bond dipoles completely cancel. We can see this more clearly in Figure 2-10a, where we mentally break the four bonds into two perpendicular Vs consisting of CCl2 groups, as we discussed in Section 2.2. The resulting net dipoles of the two Vs point in opposite directions and therefore cancel.

An illustration shows the steps involved in the vector addition of tetrachloromethane, dichloromethane, and chloromethane. The illustration is divided into three columns, one for tetrachloromethane, the second for dichloromethane, and the third for chloromethane. Each column has three boxes with arrows leading from the previous one to the next. Below the third box in each column is an electrostatic potential map of the molecule. A note between the first and second rows of boxes reads �Add together bond dipoles of separate fragments.� A note between the second and third rows of boxes reads �Add together net dipoles of each fragment.� The condensed structural formula of tetrachloromethane shows a central carbon atom bonded to two chlorine atoms on its upper right and lower right sides by solid lines, to a third chlorine atom on its lower left side by a solid wedge, and to a fourth chlorine atom on its upper left side by a dashed wedge. The condensed structural formula of dichloromethane shows a central carbon atom bonded to two chlorine atoms on its upper right and lower right sides by solid lines, to a hydrogen atom on its lower left side by a solid wedge, and to another hydrogen atom on its upper left side by a dashed wedge. The condensed structural formula of chloromethane shows a central carbon atom bonded to a chlorine atom on its right by a solid line, to a hydrogen atom on its upper left by a solid line, and to two hydrogen atoms on its lower left by a solid wedge and a dashed wedge. The first box in the tetrachloromethane column shows four thin black arrows, each pointing from the central carbon to the chlorine atoms. The second box shows the structure split into two portions with a plus sign between them. One portion shows the carbon atom bonded to two chlorine atoms by a solid wedge and a dashed wedge, and the other portion shows a carbon atom bonded to two chlorine atoms by solid lines. Below these portions are two thick red arrows of equal length pointing away from one another. The third box shows a molecule of tetrachloromethane with a note that reads, �Bond dipoles completely cancel.� The electrostatic potential map of tetrachloromethane shows a triangular cloud with green portions around the chlorine atoms and yellow in the center. The first box in the dichloromethane column shows two thin black arrows, each pointing from the central carbon to the chlorine atoms, and two thin black arrows, each pointing toward the central carbon atom from the hydrogen atoms. The second box shows the structure split into two portions with a plus sign between them. One portion shows the carbon atom bonded to two hydrogen atoms by a solid wedge and a dashed wedge, and the other portion shows a carbon atom bonded to two chlorine atoms by solid lines. Below the first portion is a short, thick red arrow pointing to the right, and below the second is a longer thick red arrow pointing to the right. The third box shows a molecule of dichloromethane with a long, thick red arrow pointing to the right. The electrostatic potential map of dichloromethane shows a triangular cloud shaded in red around the areas representing the chlorine atoms, and in blue around the areas representing the hydrogen atoms. The central portion, from left to right, is shaded in turquoise, green, and yellow. The first box in the chloromethane column shows a thin black arrow pointing from the central carbon to the chlorine atom, and three thin black arrows, each pointing toward the central carbon atom from the hydrogen atoms. The second box shows the structure split into two portions with a plus sign between them. One portion shows the carbon atom bonded to three hydrogen atoms by a solid line, a solid wedge, and a dashed wedge, and the other portion shows a carbon atom bonded to a chlorine atom by a solid line. Below the first portion is a short, thick red arrow pointing to the right, and below the second is a longer thick red arrow pointing to the right. The third box shows a molecule of chloromethane with a long, thick red arrow pointing to the right. The electrostatic potential map of chloromethane shows a dumbbell-shaped cloud shaded in red around the areas representing the chlorine atom, and in blue around the areas representing the hydrogen atoms. The central portion, from left to right, is shaded in turquoise, green, and yellow. The caption reads, Vector addition of bond dipoles in tetrahedral molecules: a. Tetrachloromethane, b. dichloromethane, and c. chloromethane all have a tetrahedral molecular geometry. Individual bond dipoles are shown in the top row. The molecule is split into its constituent parts in the second row, and the net dipole of each part is indicated by the thick red arrow. In the third row, the net dipole of the entire molecule is indicated. The bottom row shows each species� electrostatic potential map.
FIGURE 2-10 Vector addition of bond dipoles in tetrahedral molecules (a) Tetrachloromethane, (b) dichloromethane, and (c) chloromethane all have a tetrahedral molecular geometry. Individual bond dipoles are shown in the top row. The molecule is split into its constituent parts in the second row, and the net dipole of each part is indicated by the thick red arrow. In the third row, the net dipole of the entire molecule is indicated. The bottom row shows each species’ electrostatic potential map.

YOUR TURN 2.8

SHOW ANSWERS

A molecule of CF4 is shown decomposed into its two Vs. Draw the bond dipoles along the two CF bonds in each V and also draw the net dipole resulting from their vector addition.

An equation uses dash-wedge representation to show the splitting of a CF4 molecule into its two V-shaped structures. The CF4 molecule has a central carbon atom bonded to two fluorine atoms in the plane of the paper, one fluorine atom pointing away from the reader, and one fluorine atom pointing toward. The bonds on the plane of the paper are represented by solid lines, the bond pointing away from the reader is represented by a dashed wedge, and the bond pointing toward is represented by a solid wedge. An arrow from this molecule leads to two structures separated by a plus sign. The first of these shows a carbon atom bonded to fluorine atoms, one pointing away from the reader, and one pointing toward. The second structure shows a central carbon atom bonded to two fluorine atoms in the plane of the paper in a bent fashion.

The thin, red arrows indicate the bond dipoles. The thick, red arrows indicate the vector sum of each pair of bond dipoles. The thick, red arrows are equal in magnitude and point in opposite directions, so the molecule has no net dipole moment and, therefore, is nonpolar.

An illustration of dash-wedge representation shows the splitting of a CF4 molecule into its two V-shaped CF2 structures with bond dipoles. The CF4 molecule has a central carbon atom bonded to two fluorine atoms in the plane of the paper, one fluorine atom pointing away from the reader, and one fluorine atom pointing toward. The bonds on the plane of the paper are represented by solid lines, the bond pointing away from the reader is represented by a dash bond, and the bond pointing toward is represented by a wedge bond. An arrow from this molecule leads to two structures separated by a plus sign. The first of these shows a V-shaped structure with the central carbon atom bonded to fluorine atoms, one pointing away from the reader, and one pointing toward. Two thin red arrows point from the carbon atom in the direction of the fluorine atoms. A thick red arrow points upward from the fluorine atoms. The second is an inverted V-shaped structure shows a central carbon atom bonded to two fluorine atoms in the plane of the paper in a bent fashion. Two thin red arrows point from the carbon atom in the direction of the fluorine atoms. A thick red arrow points downward from the carbon atom.

Connections CH2Cl2 (Fig. 2-10b), commonly called methylene chloride, has uses as a paint stripper and degreaser, and has been used in the food industry to decaffeinate coffee. Because of its low boiling point, it is used as the liquid inside the “drinking bird” toy.

A photo shows a drinking bird toy with its beak dipping into a glass of water.

CH2Cl2 and CH3Cl, on the other hand, are both polar. As shown in Figure 2-10b, we can mentally split CH2Cl2 into two Vs, one consisting of CH2 and one consisting of CCl2. Each of these pieces has a net dipole and, instead of canceling, they reinforce each other.

In CH3Cl (Fig. 2-10c), we can treat the net molecular dipole moment as the sum of the net dipoles from the pyramidal CH3 group and the CCl bond. These dipoles, too, point in the same direction instead of canceling.

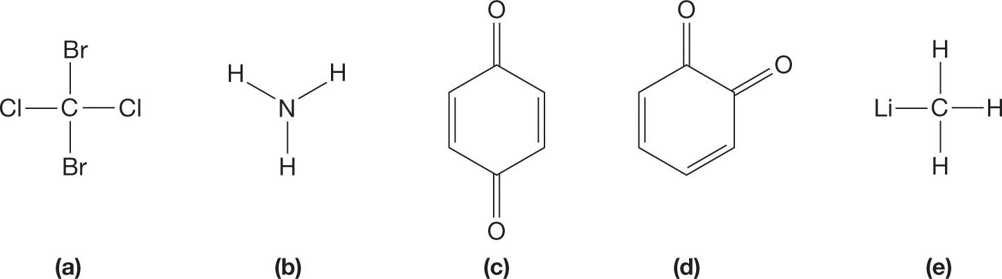
problem 2.5 Which of the following molecules are polar? For those that are, draw a dipole arrow indicating the direction of the net molecular dipole. Hint: Are the molecular geometries depicted accurately?

Condensed structure of five different organic compounds. The first structure shows a central carbon atom bonded to a chlorine atom on either side and one bromine atom on the top and another one at the bottom. The second structure shows a central nitrogen atom bonded to three hydrogen atoms in a triangular fashion. The third structure shows carbon atoms bonded together in a hexagonal fashion. Two double bonds exist, with one between the second and third carbon atoms, and another between the fifth and sixth carbon atoms. The first and fourth carbon atoms are each bonded to an oxygen atom by double bonds. The fourth structure shows carbon atoms bonded together in a hexagonal fashion. Two double bonds exist; with one between the third and fourth carbon atoms, and another between the fifth and sixth carbon atoms. The first and second carbon atoms are each bonded to an oxygen atom by double bonds. The fifth structure shows a central carbon atom bonded to a lithium atom and three hydrogen atoms.

Connections CH3Cl (Fig. 2-10c) was once used as a refrigerant, but is no longer due to its toxicity and flammability. Nowadays, it finds use as a local anesthetic and as an herbicide.